大发扑克|dafapoker|大发在线德州扑克|大发德州扑克策略网站——大发游戏导航(dfyxdh.com)
博狗NBA,欧冠外围投注平台,博狗网上娱乐网址多少?澳门博狗网上赌场_唯一国际网址——(bogoupoker.com)
发布时间:2021-02-07 文章来源:大发扑克

有无数种贝叶斯推断的应用方法;事实,很多牌手几乎一直在无意之中使用着这个进程。考虑锦标赛中一位选手在一个很早就被分桌的桌子的情况。他被移到了一张新桌子后,右手边坐着一个筹码已经是初始筹码量7倍左右的玩家,而桌上的其他大部分玩家筹码量还在初始筹码左右。大部分选手会想到两个剧情:这个大筹码玩家或者是一个非常松凶的玩家,或者是一个当天运气非常好的常规玩家。贝叶斯推断在这里的一个直接应用就是大家很自然地倾向于认为这个大筹码玩家更可能是一个松凶玩家,不管人们有没有意识到这一点。
我们可以通过贝叶斯定理的角度来量化这一点,使得我们在没有充足的多余信息时就可以做出明智的扑克策略。考虑下面这些常见的情形:
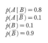
一个新的牌手来的你这一桌。通过所有可以观察到的可能有用的信息,不管是这个牌手的种族、性别、脾气、衣着、个性等方面,我们得出的结论是这个人有10%的可能性是个在CO位玩80%的牌的“疯子”,有90%的可能性是一个在CO位只玩10%的牌的紧手玩家。他进桌的第一手牌,他就在CO位加注进池(假设之前的玩家都弃牌了)。那么现在他是个“疯子”的可能性有多少呢?
我们可以用贝叶斯定理解决这个问题,但我们建议你在此之前先对这个概率做一个预测。我们相信锻炼直觉是帮助我们准确预测的最有效的方法之一,而这不仅是在扑克中,也可能是人生中一项非常重要的技能。
令事件A=对手在CO位公开加注;
令事件B=对手是一个“疯子”。

应用贝叶斯定理,我们有:

因此,简单地通过观察这个选手的第一手牌的行动,我们就可以马上将他是个“疯子”的概率从10%调整到47%。而如果这个选手在前两手牌中都加注进池了(假设下一手牌也是之前都弃牌到他),这个概率会调整到87%!当然,这些概率与我们之前主观判断的假设是相关的——在现实中,不可能只有两类选手,而且我们对一个选手到底是哪一类选手的估计也不可能那么确定。
我们倾向于在判断对手的风格并调整对他的打法之前,先观察几手牌,收集一些其他的信息。但这种观点在外面看来太消极了;EV最大化的打法意味着利用任何可以利用的信息,而不是等确认某个信息确实真实可靠之后再做出相应的行动。而这样做的选手的错误就在于他们没有意识到他们已经得到的信息由多大的价值。一些牌手,甚至一些不是也不优秀的牌手,经常会在比赛中对自己的打法做出调整,使得你之前获得的信息失去价值。但是注意!这样的调整只会对那些一直坐在同一张桌子上,并且做出非常重大的打法上的改变时才是一种有效的方法。
优秀的牌手在每次出现新的牌桌信息时都会利用它来重新审视各种概率事件;而正如我们在第二部分看到的这样,贝叶斯推断的核心是手牌阅读和剥削型打法。但是即使不在牌桌上时,贝叶斯定理也可以帮助我们对数据做出更可靠的结论。我们重新回到之前谈到的赢率这个话题,来看一个具体例子。
迈博myball最新网站|迈博体育官网|最好玩的体育直播观看平台——迈博体育导航(mbo388.com)
SOON88顺博|顺博官网|顺博娱乐场|顺博体育|顺博游戏网址发布页——顺博体育导航(shb388.com)
蜗牛扑克allnew官网,蜗牛扑克allnewpoker官网,蜗牛扑克allnewpoker国际场,allnewpoker官网下载,蜗牛扑克网站,蜗牛扑克下载——顺博体育导航(allnewpuke.com)
以上资讯由大发扑克官网(www.dfpkgw.com)整理发布!









